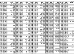
聊城志启4月14日热轧无缝钢管现货库存规格表
尊敬的领导好:
我们是聊城市开发区志启钢管有限公司,公司位于国内有名的无缝管供应基地-山东聊城经济技术开发区。我司主营各种材质无缝管:
流体输送用无缝钢管(GB/T8163-2008代表材质:20#、Q345);
结构用无缝钢管GB/T8162-2008 代表材质:10#、20#、35#、45#、Q345;
合金管材质:20G、40Cr、35CrMo、1Cr5Mo、12Cr1MoV、27SiMn、15CrMo。
自产无缝管规格:外径38-426mm。壁厚4-90mm;
销售部代理经销天津、宝钢、凤宝、山东、聊城、成都、沧州、冶钢、包钢厂家钢管(附原厂材质书、合格证,原厂产品,请放心采购)。
2012年,我司于管道装备之都-河北沧州合资兴建钢管防腐保温厂,占地面积两万平方米,拥有一条具有国际先进水平的钢质管道防腐作业线和金属结构防腐保温专用设备。公司可承担钢质管道的单层和双层熔结环氧粉末(FBE)、双层聚乙烯(2PE)和三层聚乙烯(3PE)、双层聚丙烯(2PP)、和三层聚丙烯(3PP)外涂敷工程。执行DIN30670、DIN30671、SY/T0413-2002、SY/T0315-97标准,年生产能力200万平方米。
公司成立以来,先后参与完成我国众多长距离输油、输气、输水管线、储罐防腐保温工程,参与完成出口印尼,沙特的管道防腐施工,产品质量和服务受到用户的一致好评。公司欢迎各界朋友实地考察,期待与您合作共赢!
公司名称:聊城市开发区志启钢管有限公司
公司地址:聊城开发区辽河路东首
联系人:宋刚
电话:0635-8877058 0635-2188782(传真)
手机(微信号):13561235169
邮箱:songgang668@163.com
开户行:华夏银行聊城东昌支行
账号:12751000000545593
税号:37250058193699x
顺祝商祺


